知乎企业账号运营企划

2021-08-23
13 分钟阅读时长

背景分析

平台基本规则

本节将简要说明知乎平台的主要规则,为后文提供依据。

流量来源

知乎基础流量来源

很显然基础流量的很大一部分依赖于平台的推荐,知乎整体的内容生产方式由早期的 UGC(User-generated Content,用户生产内容)逐渐转变为 UGC + PGC(Professionally-generated Content,专业生成内容),对高质量内容的需求在扩大化。而平台从始至终都是为了优质内容而服务,其自有一套规则来决定曝光。顺势而为是立身之本,这部分的内容会在下一小节详述。

在平台流量分发之外用户的内容获取途径主要为「主动获取」和「内容匹配」。在手机端 app 越发孤岛化的当下,知乎某种程度上发挥着传统搜索引擎的部分作用,再加上知乎在搜索引擎中相对较高的权重占比,这部分来源也需纳入考量。此外,主动获取在问答社区不仅仅来源于搜索,发布提问也是其获取内容的途径之一。而「内容匹配」则是依赖于平台算法的信息流分发,同样归于下一小节再述。

另外需要注意的是,近几年知乎的媒介形式由图文内容逐渐倾斜为视频内容。移动端的「视频」入口层级与首页的「推荐」是同一层级,显然其目前更倾向于对视频内容的引导和扶持。

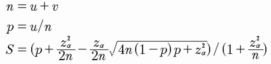
威尔逊算法

此为知乎官方公开的回答排序算法,威尔逊公式如下:

知乎威尔逊公示

u 表示赞同数, v 表示反对数, n 表示总票数, p 表示赞同率, z 是正态分 布的分位数(参数), S 表示最终的威尔逊得分。

结论

  1. 当总票数较小的时候,获得赞同的答案,得分score会迅速增加。总投票数越多,赞同票对得分score的影响越小。同时,投票数较多,得分score较高的答案,开始获得反对票时,得分会快速下降。得分score越低,下降速度越慢。

  2. score的取值范围为(0,1),且与投票总数无关。(旧算法中,score=加权赞同-加权反对,不同问题之间得分差别较大,无法横向比较)

  3. n越小,威尔逊算法的修正效果越强。

——该结论引自 @李馥旭 发布于简书的文章

该算法的影响在于争议性较强(抖机灵、攻击倾向、煽动性强等)的回答排名会受到抑制,而垂直领域下大 V 的高权重投票作用增强。

账号权重

上述提及的权重为垂直领域权重,而非全局权重。而用户在某个问题下的权重,是根据其之前在该问题的分属领域下相关问题的回答中所获得的赞同、反对、收藏、感谢等数值来计算的。权重在投票之余,也会影响回答本身的排名。

权重的计算官方暂未给出准确回答,除领域内相关问题下回答获得的数值因素影响之外,账号身份认证优秀答主 / 活跃回答者 / 优质回答者(暂未公开说明)称号、专业认可盐值等因素可能也会对权重造成影响。

盐值

知乎盐值分为「基础信用」、「内容创作」、「友善互动」、「遵守公约」、「社区建设」五个维度进行综合计算,数值分布范围在 0 - 1000 之间,分值高说明该用户专业友善可信赖。在注册时由信息完善度获得的初始盐值之上,其增减随用户的行为累积计算,每周更新一次。

活跃度

此为知乎官方在 2019 年提供的新玩法,倾向认为是「优秀回答者」的弱化版本,与新账号推荐位或许存在关联。

活跃度计算将会参考「用户在近 30 天内、在某话题下发布的回答和文章」的四个指标:

  • A :发布的内容数(回答 + 文章)
  • B :获得的赞同数
  • C :获得编辑推荐的次数
  • D :获得的专业徽章数

具体公式为:$$活跃度 =[ A +3㏒2(B) +10C + 6D ] \times 10$$

冷启动

新回答的在 2h 内的点赞率是影响后续流量分发的重要指标,回答发布后平台会为其做小范围测试,平台会根据此时段的赞数来做进一步的推荐。

账号目前情况

目前知乎账号 @uTools 的账号基本数据如下:回答数 2,视频数 3,文章数 21,想法 1;关注者 533,赞同总数 207,喜欢总数 25 ,收藏总数 124。

账号创作等级为 Lv4,暂未进行身份认证,未购买会员。注册于 2018 年,主页信息完善度一般,活跃频率低,易被判定为低贡献用户。

两个回答过于简短,选择的问题热度和曝光一般,没有太大回答价值。文章多为旗下公众号「猿料」的搬运,并未根据平台进行相关调整。另外其实需要谨慎一点关注问题(「哪里可以买到香水玻璃瓶现货?」这个就…有点摸不着头脑,可能之前是个人小号?),相对而言早期只在单一垂直领域活跃有助于平台识别账号进行侧写优化。

同类账号分析

此小节归为同类账号的范围是应用类的机构认证账号,在此仅以 @纸条@iSlide@Canva可画@XMind思维导图@flomo浮墨笔记 五个账号为例进行简要说明,其基本情况如下:

账号名称 关注者 赞同 喜欢 收藏 回答 文章 视频 想法
纸条 893287 1272152 1151025 3784263 1093 633 10 267
iSlide 39604 55919 25583 191505 374 239 63 136
Canva 68070 75425 23405 121563 688 231 19 175
Xmind 114158 54095 22974 189443 242 208 1 78
flomo 1076 278 66 274 0 56 0 0

先简要说明一下这几个账号的产品功能,@纸条 是好句收集类工具,@iSlide 是 PPT 辅助制作工具,@Canva可画 是在线设计类工具,@XMind 则是思维导图工具,而 @flomo 则是记录想法川流的笔记工具。此类工具性产品的指向性极强,有清晰的定位与适用领域。这里不便做横向数据比对,仅对运营内容的产出方向做宏观上的讨论。

这几个账号的回答领域基本围绕着自身产品定性,如 @纸条 高频回答为各类收集句子的问题,@iSlide 则回答设计相关类问题较多。作为共通性的「产品」本身也是其在软件 / 工具推荐类回答的一个倾向,比如「你手机里有哪些堪称神器的 App?」、「大学生的电脑有哪些必装软件?」等,这类型的问题是可以比较直接的可以进行产品介绍的。而另一个方向则是围绕产品使用的技巧、方法论、知识分享进行产出,比如 @XMind 回答过的「如何来使自己的思维更严密?看问题更深刻?考虑问题更加全面?」等。较为特殊的是 @Flomo(它目前也并没有很贴合平台进行专门运营,大概仍然处于搬运阶段),它本身是背靠「卡片盒笔记法」为基础使用逻辑的产品,其更倾向于将知识分享作为内容产出方向。一般来说早期会以垂直化的细分领域为切入点,后期逐渐在相关领域做出新尝试来拓宽受众面。比如 @iSlide 就回答了「如何评价电影《纯洁心灵·逐梦演艺圈》?」这个问题,但回答仍然是以其本身产品领域的海报设计为切入点。总结地来说,这类机构账号的方向是基于产品本身的相关领域,辅以产品使用上的方法论作为主要内容输出途径。

在这五个账号中,@iSlide、@XMind 和 @纸条 的内容产出方向与产品本身的工具特性贴合的非常紧密(且的确有效),而 @Canva可画 的相比较起来是在弱化产品的工具属性介绍(或者说它在这方面的尝试并没有获得显著效果),更倾向于提供一种泛设计领域的信息/知识分享。尽管这类回答与产品本身的关联性较低,但从另一个角度来说对产品形象建立是有一定提升效果的。此外,@纸条 是早期与知乎平台合作的相对不错的官方账号,@XMind 作为老牌思维导图软件其实平台本身就有很多关于它的提问,两者均属于早期就运营得不错的类型,目前来说可借鉴之处相对有限。

而 @flomo 尽管并非是以知乎作为主要运营场所的机构账号,但它的方向还是挺有意思的,很显然它走得并不是上文共性阐述中的那一套。flomo 目前的内容构成并不是只由团队内部专人负责产出,有相当一部分是各种 flomo 用户的投稿 / 约稿。当然这和这款工具本身的定位也有很大关系,作为笔记软件本就会自然而然地融合进不同类型的用户的工作流,这对用户来说是一个相对不错和容易的分享方向。而在这类投稿 / 约稿和其本身基于所倾向的笔记法的相关内容之外,则是其自身称作「弱弱联合」的另一部分内容,也就是和一些「气味相投」的产品做一些联动,或许可以有点「双厨狂喜」的味道。

最后需要说明的是,尽管是作为机构认证的账号,剔除掉标识以内容角度上来看,除了明显的对自身产品导流倾向,在主要内容部分其实与个人创作者并未有太高的区分度。这一点需要结合知乎平台本身的特性来看,与微博那类经常性地圈地自萌状态——你只有先让足够多的人看到你,你说的话才能被听见——有明显不同的是,知乎是另一套「如果你说得足够好,那你会被更多人看到」的逻辑,这就意味着机构账号并不会因其身份本身获得更多的用户观感倾斜(当然知乎还是会为其提供一定的便利,比如转化插件、流量激励等,详见此处)。而得益于大家对所谓「广告」的宽容度提高,只要能够在内容上提供足够的价值和效用(再加上「机构号」本身多少都会提供一种「专业」的先入印象),用户「吃下安利」的意愿并不会因此而减弱。

运营计划

账号基本资料

目前 @uTools 账号的基本信息完善度一般,但可以做一些优化进行更好地导流转化(这方面的调整也是在做形象建立了啦)。

  1. 一句话简介可以添加上网站域名,可修改为「u.tools 你的生产力工具集」(虽然这个后缀很难让普通人一下反应过来这是网址…)。这里的一句话简介除了出现在主页,也会出现在回答的账户名下方,曝光量还是相对较大的。

  2. 个人简介的内容,虽然需要再多点击一次才能看到,但是一个可以详细编辑的地方,也是第二个引导入口。目前的「utools-你的生产力工具集! 趁手贴心,多平台; 插件化管理,世间工具三千,只取你要的那瓢!」,第一句的内容和一句话简介重合,属于重复信息。当然这句话是产品的 slogan,有强调价值,但这个地方再放首位感觉有点可以但没必要,末句再 cue 也不迟。另外这里也可以多放一句下载的引导或是公众号的名称~

    备选修改(不改其实也可,问题不大):① uTools 是一款自由集成多功能插件的工具,快速匹配场景即用即走。uTools,你的生产力工具集! ② 一切皆插件,工具亦随取~~(不押韵啊可恶)~~。多平台的插件化管理工具集 uTools,助你迅速提高生产力! ③ 即用即走的多功能插件工具集,多平台可用,趁手贴心,必备大力丸!传送至 u.tools 即可下载使用~

  3. 封面。封面其实在网页端和移动化的显示并不一样,引导价值比较低。但是目前这个封面吧~~(用网站截图也太敷衍了吧啊喂)~~,字号偏小,信息量比较低。可以稍微修改一下,思路有两个:① 图片里放上「产品图标 + slogan + 多平台图标 + u.tools 下载引导」这些元素会好很多。② 其实直接放和产品形象有关的图也行,比如唤起后的那个框?我个人对框里那个「Hi,uTools」好感度很高hhhh。

  4. 身份认证。与个人认证的区分见此处,没记错的话机构认证要氪 300 的审核费,具体可以戳官方的传送门

账号阶段简述

目前 @uTools 这个账号还是比较新的(贡献值低、活跃度低)。外链和冷启动是比较敏感的操作,一上来这样弄容易被系统检测到违规或者举报,轻则删回答,重则封号。前期开始1~2个月左右会以保持像正常用户的活跃度为主,增加账号日常使用时间,内容发布会以文章为主,基本目标是提高盐值,养养号。

保持好基本的活跃度之后,会把内容产出的重心放在挑选领域内高曝光、高话题度的问题和创造高赞优质回答上。这一阶段会维持较长时间,需要反复根据实际回答/文章/想法的效果反馈进行调整,也需要思考文章的具体风格、结构、叙述方式等。能够明确的是,这个阶段仍然不会做跨领域的尝试,会保持在「科技」大类下的子话题活跃。此外,也可以尝试在平台与其他机构号进行简单互动,评论、想法之类的,视具体情况而定(能上热评也是很好的曝光入口,不过这个可控性比较弱)。

账号内容构成

本节将会简要说明账号发布内容的思路方向,长文存档会放在共享文件夹中。

回答

之前有讨论过现在的答题成本变高的问题,但不可否认的是作为问答社区,回答相较于文章确实是更容易有自然流量的入口。文章的传播基本依靠个性化推荐、关注账号的时间线、专栏本身的关注量以及搜索,而问题自带的话题性和其传播路径是文章无法比拟的。

回答在同一问题下无法重复作答,而同一内容在不同问题重复发布是平台雷点,因此问题的挑选也是需要斟酌的。这里有必要提及讨论一下热榜的问题,热榜有时候并不意味着问题的可答性高,毕竟是平台编辑操作,会有一定的导向性,很可能也会出现一些实际关注度浏览量都很高而不再热榜上的问题。而从另一方面来说,热榜作为一个高曝光入口,新回答的竞争度是很大的,综上所述在实际操作中有选择地追热榜是比较明智的。

接着说明一下比较具体的答题方向,一开始会以我个人擅长的软件推荐相关问题为切入点,这是最直接可以展开介绍的方式,之后会逐渐扩大范围寻找效率方法类的相关问题做一些尝试。问题挑选是我需要做的常态性工作,这里就不做过多分析说明。另外回答内容的框架会因问题的指向而调整,这里也无法做出具体说明。当我认为某个问题具有回答价值的时候,我会将其添加到这里的选题中,完成好的内容也会先提交审核再进行发布。

文章

文章内容上的可预测性是较高的,这里可以简要说明一下。

先说专栏,一般来说有两个思路:① All in one,专栏仅作为所有文章内容的集合,并且给关注者多提供一个订阅选项。② 对文章的类型做区分。比如将 uTools 的技巧介绍和产品故事分开,可以参见 @Canva可画 的专栏设置。前者的优势是订阅相对集中,但文章混杂对某些读者来说订阅意愿会下降,后者则相反。个人倾向于前者,有必要单独开专栏分类的内容势必需要更多的支撑内容,现阶段无论是账号量级还是编辑能力都并没有到可以(且有需要)这样做的阶段。

接着说回文章本身,之前 @uTools 账号发布的文章内容有两种:插件简介和开发者说。插件简介是单个插件的功能介绍,内容单薄且很难与读者产生共鸣,仿佛是更新说明的东西其实很难会产生「点赞→收藏→转发→站外」这样的传播动作。目前的想法是这个方向的内容的切入点可以调整为嵌入工作流里的场景化使用,基于某个身份 / 工作场景来介绍插件的功能,或许会好一些。具体可以等我写一篇试稿看看。另一类的开发者说则可以考虑融入非虚构写作的一些手法,让它更加故事化。

想法

想法其实更多的是与关注者之间的碎片化互动,主要的目的是把「官方」和「人」的这两者的身份距离弱化。这个具体发什么的话,处理起来可以比较松弛,基本构成应该是体量写不成文章但可以分享的技巧、刷下节日存在感、团队有趣日常之类的东西。

视频

视频形式的产出成本比较高,不过既然有在做 B 站和抖音,那是可以做一些搬运的。前文有提及知乎目前对视频内容也是比较重视的,在移动端首页的推荐有单独的「最新视频」位置,也有单独的「视频」页面。虽然已经过了最开始那段大力扶持的时间,但已有内容的搬运也并不会有太多成本。

其他联动发布

@枝因

以上说明的视角更多地是放在 @uTools 账号本身建立产品形象获取更高曝光上的,而以「在知乎平台提高 uTools 产品本身的曝光度」为目的的话,可以将我的知乎账号 @枝因 发布的内容纳入考虑。

目前这个账号的关注是 2.4w,多少算个小 V 吧。尽管我个人认为知乎的关注者数量价值不高,创作内容其实并不能像公众号那样非常直接有效的到达关注者面前(尤其是知乎调整了关注页面更新排序方式之后)。另一方面这个账号已经停更一年,活跃度比较低,但比起 @uTools 这个账号的权重无疑是高很多的。同时个人号的身份也会提供和官方机构号不一样的观感视角,总体而言可以作为另一种传播途径。

@枝因 这个账号本身的热门回答方向是软件资源类推荐,我个人的打算是这个账号会逐渐减少这类工具向的回答,因为账号定位是「生产力提升」,转向方法论的输出价值感会更高一些,也更好戳情绪点。目前的打算是如果有依旧要回答原工具向的问题,在不影响内容结构的情况下会将 uTools 的排序尽量放在靠前位置。至于这个账号在其他方向的内容,必然也会因为「uTools 知乎内容运营」的身份而对其有好感度倾斜,具体融合形式有待尝试。不过这个尝试也可能没那么快进行,目前主要还是会更偏向将 @uTools 账号做起来先。

其他

目前了解到的 uTools 内容分发渠道除了知乎,有微信服务号「猿料」(居然还有一个名字就叫「Utools」的公众号?这个号是我们的吗…?我看还是一片空白来着。应该不是,21年三月注册的,大小写也不一样。)、B站「uTools」以及抖音(没用过抖音不好查名字哈)。

可以在各平台发东西的时候,带一张汇总图,名字 + slogan + 平台账号名字那种最简单的就行。如果读者是别的平台的高频使用者,看到图的暗示也有一定概率会跨平台关注。如果有用户群聊也可以拉我进一下,冷启动操作起来会方便一些(好的得知有十个群,真是太好了555)。

另外知乎这边的文字内容如果有合适的,也可以改成视频策划做另一种方式的呈现,写都写了,能多发挥点作用也挺好~就是不太清楚隔壁视频的产出流程,需要我改稿的话可以到时候再说。

Avatar

枝因

Per aspera ad astra